Tin liên quan

A- A A+ | Tăng tương phản Giảm tương phản

Quy chế cuộc đấu giá của Công ty đấu giá Hợp danh Đông Dương

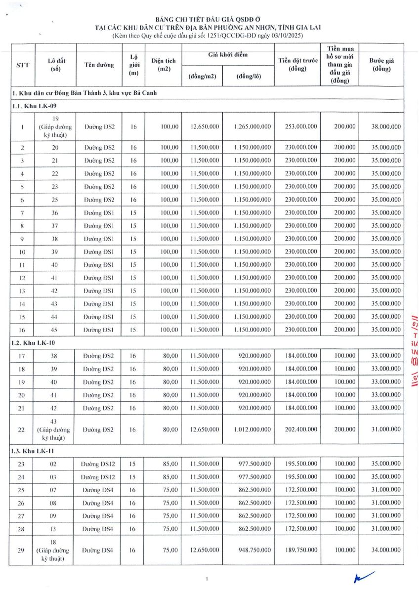
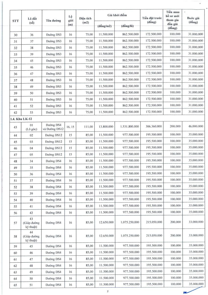
Tài sản đấu giá  70 lô đất ở tại các điểm dân cư, khu dân cư trên địa bàn phường An Nhơn, tỉnh Gia Lai, cụ thể như sau:

  • 68 lô đất ở tại khu dân cư Đồng Bàn Thành 3, khu vực Bà Canh, phường An Nhơn, tỉnh Gia Lai (trước đây là phường Đập Đá, thị xã An Nhơn, tỉnh Bình Định);

  • 02 lô đất ở tại điểm dân cư thôn Bắc Nhạn Tháp, phường An Nhơn, tỉnh Gia Lai (trước đây là xã Nhơn Hậu, thị xã An Nhơn, tỉnh Bình Định); 

Quy chế cuộc đấu giá của Công ty đấu giá Hợp danh Đông Dương.

 

 

 


Các chỉ số Các chỉ số

Tin nổi bật Tin nổi bật